In this post I will show how are upper and lower body moves during a speed climbing comp, and the way this information help us to understand speed climbing training methods.
Upper body moves
Pay attention to this video, specially arms moves
Now let’s see the same video in slow motion and with contact time analysis.
If we analize in numbers what the video shows:
• Numbers of contacts 10 left / 9 right
• Total contact time 4,08s/3,6s
• Double moves 4
• Average contact time : 360ms
• Esplosive actions with stretch shortening cycle (SSC)
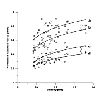
There is few cientific studies published concerning speed climbing. Konstantin Fuss and Gunther Niegl (2006) studied climbers forces during different situations, using piezoelectric sensors attached to holds to determine how forces is applied on them.
They concluded that during speed climbing as higher the reaction force over the hold, higher initial shock spikes , and shorter the contact time. So it is necessary to apply high forces in a short period of time, thus reduce the contact time. Keep in mind that if we reduce each of the contact times , we will have a less time until the top.
A
t this point, a striking difference becomes apparent: in lead climbers, the better a climber is, the smaller are the contact forces at the hold: in speed climbers, the opposite is true, i.e., the better the climber and thus the faster, the higher are the contact forces. In lead climbers, the magnitude of these forces depends on how economical the climbing style is; in speed climbers, the force is a function of speed (Fuss and Niegl. 20O6).
Next graphs shows forces and contact time / velocity
Number of moves shows that during comp format (15 meters tall) and with accurate technique, a climber do 19 moves, 4 of them are double dyno.
Average contact time is between 300-500ms, classifying some of the actions as Long Stretch Shortening Cycle actions (SSC-L), that means that there is some elastic energy stored and released during the contraction. This determines some parameters to consider when planing the training to maximize the efficacy of each move
Lower body moves
Next Image shows lower body moves.
• Number of contacts 9/9
• Both feet at the same time: 1
• Average contact time : 400ms
• Explosive isometric-concentric actions
• Knee: >90 grados
• Foot internal rotation, Hip abduction
Number of contacts is similar to upper body, but contact time is higher, maybe because great angular amplitude of the involved joints.
If we see the knee in each move, we will notice that they’re flexed more than 90 degrees at the beginning of the move. So they’re deep knee flexions.
At the same time each move is performed with feet external rotation and hip abduction, that determines an specific pattern to train lower body.
All this actions are considered explosive isometric-concentric actions, because the climber first fixes his feet, and then perform the explosive concentric action always with upper body support.
Next post I will describe methodologies to improve efficiency of upper and lower body contacts.Prof. Juan Marín Miranda




15 de April de 2010 at 14:40
I do like ur article~!!!...................................................
15 de September de 2011 at 11:40
This comment has been removed by a blog administrator.
1 de March de 2019 at 02:51
Nice blog,
Thank you for sharing this content
speed climbing holds